عصر بازار

در چهار ماهه امسال

سهم شرکت‌های بیمه‌ای از بازار بیمه چقدر است؟

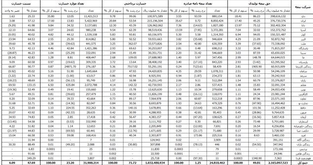
عصر اعتبار- براساس داده‌ها بیمه مرکزی، حق بیمه تولیدی بازار بیمه در چهار ماهه نخست سال جاری به ۲۱۶ هزار ملیارد تومان رسید که سه شرکت بیمه‌ای سهمی ۵۰ درصدی را به خود اختصاص دادند.

سهم شرکت‌های بیمه‌ای از بازار بیمه چقدر است؟
نسخه قابل چاپ
پنجشنبه ۲۳ مرداد ۱۴۰۴ - ۱۵:۵۱:۰۰

    به گزارش پایگاه خبری «عصر بازار» به نقل از ایسنا،  داده‌های منتشر شده از سوی بیمه مرکزی از عملکرد صنعت بیمه کشور در چهار ماه نخست سال 1404، نشان‌دهنده رشد قابل توجه در برخی شاخص‌ها از جمله حق «بیمه تولیدی»، «تعداد بیمه‌نامه‌های صادره» و «خسارت‌های پرداختی» است.

    بر اساس این آمار، میزان فروش حق بیمه تولیدی شرکت‌های بیمه‌ای با رشد 49.8 درصدی نسبت به مدت مشابه در سال قبل به 216.5 هزار میلیارد تومان می‌رسد که منجر به فروش 24.8 میلیون فقره بیمه نامه در این مدت بوده که رشد 1.3 درصدی را در تعداد بیمه‌نامه‌های صادر شده طی این مدت نشان می‌دهد.

    همچنین تعداد خسارات پرداختی در چهارماهه نخست سال جاری به 103 هزار میلیارد تومان رسید که نسبت به چهار ماهه نخست سال گذشته 71.7 درصد رشد داشت که شامل 31.9 میلیون فقره خسارت پرداختی است.

    عملکرد شرکت‌های بیمه‌ای در بازار بیمه چگونه بود؟

    براساس داده‌های مذکور، سهم سه شرکت‌ بیمه‌ای هرکدام بالاتر از 10 درصد از کل سبد حق بیمه تولیدی چهارماهه امسال بود که در مجموع این سه شرکت نزدیک به 50 درصد از بازار بیمه کشور را طی این مدت به خود اختصاص دادند.

    بیمه دی با حق بیمه 39.8 همتی و سهم 18.4 درصدی در جایگاه اول، بیمه ایران با حق بیمه 37.6 همتی و سهم 17.4 درصدی در جایگاه دوم و بیمه دانا با حق بیمه 30 همتی و سهم 13.9 درصدی در جایگاه سوم شرکت‌ها با بالاترین حق بیمه تولیدی قرار گرفتند.

    همچنین بیمه آسیا با حق بیمه 15.2 همتی و سهم هفت درصدی، بیمه کوثر با حق بیمه 15 همتی و سهم 6.9 درصد، بیمه البرز با حق بیمه 9.2 همتی و سهم 4.2 درصدی، بیمه ملت با حق بیمه 7.3 همتی و سهم 3.3 درصدی بیمه پاسارگاد با حق بیمه 7.1 همتی و سهم 3.3 درصدی، بیمه سینا با حق بیمه 6.5 همتی و سهم سه درصدی و بیمه ما با حق بیمه 6.4 همتی و سهم 2.9 درصدی در جایگاه چهارم تا دهم حق بیمه تولیدی و فروش بیمه نامه قرار گرفتند.

    بر این اساس، بیمه دی نسبت به مدت مشابه سال قبل (چهارماهه نخست 1403) رشدی 86 درصدی، بیمه ایران رشد 45 درصدی، بیمه دانا رشد 75 درصدی، بیمه آسیا رشد 32 درصدی، بیمه کوثر رشد 94 درصدی، بیمه البرز رشد 21 درصدی، بیمه ملت رشد 37 درصدی، بیمه پاسارگاد رشد 30 درصدی، بیمه سینا رشد 87 درصدی و بیمه ما رشد 148 درصدی را در حق بیمه تولیدی و فروش بیمه نامه به خود اختصاص دادند و باقی شرکت‌ها در جایگاه‌های بعدی قرار گرفتند.

    برچسب ها